www.guriont.webnode.com
[POST 01 DEZ/2011]
SISTEMA TOPOGRÁFICO LOCAL - STL [TRANSFORMAÇÃO DE COORDENADAS]
Até pouco tempo atrás, os levantamentos topográficos eram efetuados com o auxílio de equipamentos considerados clássicos, sem o emprego de satélites artificiais, onde o controle azimutal dos alinhamentos bem como a posição global de vértices geodésicos implantados era determinado através de tediosas visadas astronômicas entre dia e noite.
Norte verdadeiro extraído por observação da cinética do sol, me lembro bem deste cansativo trabalho de ficar segurando o bastão para meu grande mestre da Agrimensura (meu Pai), fazer a referência de ré ... Enfim, com o surgimento dos primeiros grupos de Satélites do sistema GPS, destinados a auxiliar no mapeamento terrestre, o árduo, mas bom trabalho mencionado acima deixou de ser necessário, parei de “molhar as botinas” para este fim.
Conforme já exclamado por um extremo letrado em seu livro, “o GPS é geodésica pura e de alta tecnologia”, sendo assim, é necessário, além conhecer solidamente os fundamentos teóricos da ciência Geodésica e Cartográfica, sobretudo é preciso lidar com os parâmetros envolvidos e colocá-los em prática com todo rigor, sem abrir mão de todo o bom senso volvente.
[...]
O sistema híbrido de levantamento topográfico, ou seja, aqueles que integram equipamentos tais como Estação Total eletrônica, teodolitos e etc., com receptores GPS, estão presentes cada vez mais nas obras de engenharia, e se faz necessário compatibilizar os parâmetros coletados entre os sistemas para que o produto final gerado não venha trazer prejuízos. Esta compatibilização envolve o processo de transformação entre sistemas de coordenadas, aqui tratado especificamente a: Transformação de coordenadas Planas Retangulares, sistema UTM em coordenadas Planas Retangulares, Sistema Topográfico Local – STL.
Foram muitas as motivações que me levaram a dedicar a escrever um pouco deste tema, espero que possa ser útil para todos.
PLANO TOPOGRÁFICO LOCAL
O plano topográfico local compreende, simplesmente, em um sistema de canevas, ou seja, quadrículas (Plano Retangular) onde são representados os vértices que foram levantados topograficamente.
A NBR (14.166,94) define a o plano topográfico local como sendo: “superfície definida pelas tangentes, no ponto origem do sistema topográfico, ao meridiano deste ponto e à geodésica normal a este meridiano”.
ORIGEM DO SISTEMA LOCAL
A origem deste sistema é georreferenciada, tendo sua altitude como sendo a média de uma determinada região e possui uma orientação voltada para o Meridiano Geodésico da origem, ou seja, o plano topográfico local é orientado pelo meridiano que passa pelo ponto de origem. Contudo, tendo em vista que as coordenadas da origem são geodesicamente conhecidas, é possível, pelo processo inverso de conversões, transformar as coordenadas planas retangulares, Sistema Local em coordenadas Geodésicas.
Se estiver em um sistema topográfico arbitrário, a origem não será geodésica, a altitude não é definida e a orientação é voltada para o Norte verdadeiro, Magnético ou qualquer direção.
Conforme prescrito na NBR 14166 de 1994: “A superfície de projeção é um plano normal à vertical do lugar no ponto da superfície terrestre considerado como origem do levantamento”.
O plano de representação, a origem, eixos e orientação, são elementos constituintes do sistema fundamental para o posicionamento dos pontos do levantamento por intermédio de um sistema cartesiano ortogonal em duas dimensões, (X) e (Y), onde:
a) Os eixos (X) e (Y) estão jacentes no plano do Horizonte Local, ou, plano tangente ao elipsóide de referência que represente a figura geométrica da terra, que nestes caso, é adotado a esfera adaptada de Gauss;
b) O eixo (X) é orientado positivamente para o Leste, enquanto o eixo (Y) coincide com a linha meridiana (Norte-Sul) geográfica, no ponto de tangência, orientado positivamente, para o norte geográfico.
EXTENSÃO DO STL
A figura abaixo apresenta a disposição da Superfície física, o Plano Topográfico e o Geóide. Conforme se vê, o plano topográfico tangencia o ponto (A1), que corresponde origem do sistema.

Sendo (R) o raio terrestre, (D1) a distância plana entre (A1-B1), (D) a distância sobre o geóide (A1-B2), ou seja, distância curva e (α) o ângulo correspondente ao comprimento de um arco, temos:
D1 = A1B1 = R.tan α ....................................................................................... (1)
Admitindo-se que α é um ângulo muito pequeno:
D = arco (A1B2) = R.α ..................................................................................... (2)
A diferença entre D1 e D é denominada de erro planimétrico (∆D) devido à curvatura da Terra, portanto:
∆D = D1 – D ..................................................................................................... (3)
∆D = (R . tan α) – (R .α) = R (tan α – α) .......................................................... (4)
Considerando um valor reduzido para (α), introduzirá uma série de potências para chegar a expressão geral do erro planimétrico devido a curvatura da Terra:
∆D = D3/3R2 ..................................................................................................... (5)
Porém, restringindo-se a equação número (4), é possível fazer uma breve análise do que ocorre quando as medidas se afastam de sua origem local.

. R = Raio aproximado da Terra = 6.370 Km = 6.370.000,0 m
. δ = erro relativo aproximado.
Conforme tabela acima, de uma forma muito simplificada, evidenciam-se as distorções que ocorrem por desconsiderar a curvatura terrestre no processo de medias com a adoção do STL. Portanto, recomenda-se referenciar a origem do levantamento na região central do trabalho. Caso o levantamento seja consideravelmente extenso, ultrapassando o limite do STL, devem-se eleger novos planos tangentes, amarrados geodesicamente entre si e na seqüência do levantamento, ocasionando em novas origens.
Recomenda-se reportar a NBR (14.166,94) para maiores detalhes quanto à extensão do STL.
Considerando as limitações da extensão das medidas no STL, a superfície matemática da terra é admitida como sendo um Elipsóide de Revolução, especificamente uma esfera, a esfera adaptada por (Gauss), onde o raio terrestre é considero como sendo o raio médio do elipsóide de referência na origem do plano topográfico local.
[...]
Caso alguém tenha dúvida quanto à matemática da esfera de Gauss, fique a vontade em perguntar, posso apresentar oportunamente.
[...]
Sendo assim: “Para que todas as medidas de ângulos e distâncias determinadas nas operações topográficas sejam consideradas como sendo a projeção em verdadeira grandeza sobre o Plano do sistema local, faz-se necessário elevar este plano à altitude média do terreno, na área de abrangência, passando a chamar-se de Plano Topográfico Local.”
Este fator de elevação (c) é determinado pela seguinte expressão:
• c = (Rm + Ht) / Rm ........................................................................................ (6)
Para melhor entendimento, segue imagem abaixo:

(NBR 14.166,94)
Desta forma, resume-se conforme prescrito nas NBR’s (14.166/13.133 de 1994):
a) O sistema de coordenadas plano-retangulares tem a mesma origem do STL;
b) A orientação do sistema de coordenadas plano-retangulares é em relação ao eixo das ordenadas (Y);
c) A fim de serem evitados valores negativos para as coordenadas plano-retangulares, a estas são adicionadas termos constantes adequados a esta finalidade;
d) A fim de elevar o plano topográfico de projeção ao nível médio da área objeto do STL, as coordenadas plano retangulares são afetadas por um fator de elevação, caracterizando o STL;
e) A origem do STL deve estar posicionada, geograficamente, de modo a que nenhuma coordenada plano-retangular, isenta do seu termo constante, tenha valor superior a 50 km.
Conforme descrito na alínea (a), tendo a origem dos eixos coincidindo com a origem do STL, tem-se o seguinte sistema:
ORIENTAÇÃO DOS ALINHAMENTOS
Os alinhamentos entre as linhas de base devem ser orientados segundo os azimutes planos, que são formados pela variação angular entre o Norte da Quadrícula e um alinhamento qualquer, conforme figura abaixo.

Esta diferença angular, entre Norte da Quadrícula (NQ) e Norte Geodésico (NG), é definido como Convergência Meridiana (CM = γ), utilizado para transformar o azimute verdadeiro em azimute topográfico, e virce-versa.
No hemisfério Sul, a convergência meridiana é negativa a leste da origem do sistema topográfico local, e positiva a oeste do mesmo (conforme figura acima). No hemisfério norte, a convergência meridiana é positiva a leste da origem do sistema topográfico local, e negativa a oeste do mesmo.
Observa-se que as linhas curvas na direção Norte-Sul geodésica são sempre voltadas para o lado do meridiano de origem.
CASO PRÁTICO
Tendo em mãos as coordenadas planas retangulares, sistema UTM dos vértices de apoio básico e imediato (1ª e 2ª ordem) de um levantamento, ou seja, aqueles que darão suporte a poligonal de apoio, seja ela enquadrada, caminhamento fechado, etc., elege-se o vértice origem para a transformação de coordenadas.
A origem a ser utilizada na transformação poderá ser qualquer ponto/vértice da área de trabalho em questão, desde que o mesmo não extrapole o limite da extensão do sistema topográfico local, conforme já visto anteriormente, e mesmo que este nem esteja materializado em campo. Normalmente, têm-se utilizado o vértice de apoio básico do levantamento, ou seja, aquele que foi triangulado diretamente das estações ativas da RBMC, pelo fato de que o tratamento estatístico para a obtenção de suas coordenadas é relativamente mais apurado.
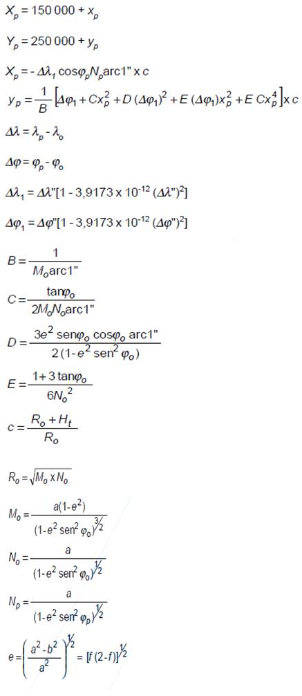
A transformação das coordenadas planas, sistema UTM em coordenadas planas, sistema Topográfico Local se dará a partir das formulações prescritas pela NBR (14.166,98), listadas abaixo:

Sendo:

. φ = negativo
. λ = crescente para oeste
. C, D e F = Negativos no hemisfério sul
. O eixo das ordenadas é o eixo dos Y e o das abscissas é X.
. As constantes X= 150.000 e Y= 250.000 podem serem substituídas, conforme mostrado anteriormente, por um vértice próximo da área levantada em questão.
Visto que na origem a convergência meridiana é nula, o azimute (A) é topográfico e também geodésico. Recomenda-se utilizar a convergência meridiana (γ) somente em caso de aviventação de rumos e/ou azimutes ou até mesmo na reconstituição de memoriais descritivos. Em se tratando de projetos de engenharia, especificamente projetos do tipo Rodo-Ferroviário, é irrelevante considerá-la.
Estas equações podem facilmente serem programadas em uma planilha eletrônica, portanto, cuidado especial deve ser tomado ao trabalhar com os ângulos, que normalmente deve ser convertidos de Grau para Radianos. Novamente, no sentido do cuidado, atentar para a precisão das casas decimais.
[...]
Bom, espero ter contribuído com este breve resumo, que com toda certeza tive que me reportar a algumas referências bibliográficas. Caso tenha algum comentário, dúvida e/ou sugestões, não exite em contribuir enviando-me um e-mail ou postando no blog/site.
Um abraço.
DGT
POSTs
FELIZ ANO NOVO !
—————
—————
—————
—————
—————
![COORDENADAS TOPOGRÁFICAS LOCAIS - STL [TRANSFORMAÇÃO DE COORDENADAS]](https://015c754558.cbaul-cdnwnd.com/b91375cb5f6dd633f1624abe25562ae3/system_preview_small_200000050-5b81d5c7bc/01.DGT_Extensão_do_STL.jpg)

![SISTEMA DE POSICIONAMENTO [GLONASS] SUPERA O AMERICANO GPS EM PRECISÃO](https://015c754558.cbaul-cdnwnd.com/b91375cb5f6dd633f1624abe25562ae3/system_preview_small_200000033-42d4443ce8/Satélite.jpg)
